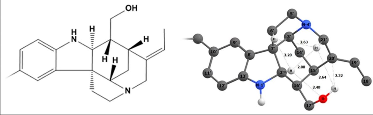
Расшифровка строения природных соединений - очень сложная задача: у них часто бывают десятки хиральных центров, а также множество конформаций. Ученые Института Фаворского (ФИЦ ИрИХ СО РАН, Иркутск) применили квантово-химические расчёты, чтобы создать надёжный "цифровой эталон" для идентификации 12 сложных алкалоидов, встречающихся в растениях рода Strychnos.
Исследователи провели детальный конформационный анализ для 12 димерных алкалоидов и 5 их мономерных "кирпичиков". Подход состоял из трёх ключевых шагов:
-поиск всех возможных конформаций молекулы.
-квантово-химическая оптимизация геометрии для каждой из них.
-высокоточный расчёт спектров ЯМР методом функционала плотности (DFT) для каждой стабильной формы.

Для каждой молекулы теоретические химические сдвиги были скоррелированы со всеми известными экспериментальными данными с использованием специальных статистических дескрипторов. Точность метода оказалась впечатляющей: средняя абсолютная ошибка составила всего ~0.2 ppm для протонов (¹H) и ~1.9 ppm для углерода-13 (¹³C). Для молекул такого размера и сложности это очень высокое совпадение. Это позволит в дальнейшем предсказывать спектральные данные для сложных природных соединений гораздо более точно, что сильно облегчит работу - а это важно, например, для поиска новых биологически активных соединений среди природных димеров.
Результаты работы опубликованы в международном научном журнале International Journal of Molecular Sciences
https://www.mdpi.com/1422-0067/27/1/337












